 |
5ÀÏ. IRR()ÇÔ¼ö
¿À´Ãµµ
¾È³çÇϼ¼¿ä ^^
Áö³
½Ã°£¿¡ ÀÌ¾î ¿À´ÃÀº ³»ºÎ¼öÀÍ·ü¹ý(IRR)ÀÇ
°³³ä°ú IRR()ÇÔ¼ö¿¡ ´ëÇØ °øºÎÇØº¸°Ú½À´Ï´Ù.
¾î´À
ÅõÀÚ¾ÈÀÇ °æÁ¦¼º(Áï À̰е·µÇ´Â ÀÏÀΰ¡
¾Æ´Ñ°¡¡¦)À»
Æò°¡Çϴµ¥´Â ¿©·¯ ¹æ¹ýÀÌ ÀÖ½À´Ï´Ù. ±¸Ã¼ÀûÀ¸·Î
ȸ°èÀû ÀÌÀÍ·ü¹ý, ȸ¼ö±â°£¹ý ±×¸®°í ¾Õ¼ ¹è¿î NPV(¼øÇö°¡¹ý)³ª
À̹ø¿¡ ¹è¿ï IRRµîÀÌ ÀÖ½À´Ï´Ù.
IRR(values,guess)
1. IRRÇÔ¼ö¶õ?
³»ºÎ¼öÀÍÀ²(Internal
Rate of Return : IRR)À̶õ ÅõÀÚ¿¡¼
±â´ëµÇ´Â Çö±ÝÀ¯ÀÔÀÇ Çö°¡¿Í Çö±ÝÀ¯ÃâÀÇ Çö°¡¸¦ °°°Ô
ÇÏ´Â ÇÒÀÎÀ²ÀÔ´Ï´Ù.
Áï µé¾î¿Ã ¹Ì·¡ÀÇ Çö±Ý°ú ³ª°¡´Â Çö±ÝÀÇ °¡Ä¡¸¦
ÀÏÄ¡½ÃÄÑÁÖ´Â ÇÒÀÎÀ²À» ã´Â °ÍÀÌÁÒ. ±×·¯¹Ç·Î IRR()ÇÔ¼ö¸¦
»ç¿ëÇÏ¸é ¾ò¾îÁö´Â °ÍÀº ~%¶ó´Â °á°ú¸¦ ¾ò°Ô µÇ°ÚÁÒ.

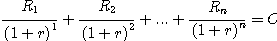
ˤ˂
¼ö½Ä¿¡¼ º¸¸é R1
, R2 ,¡¦, RnÀÌ
Çö±ÝÀ¯ÀÔÀ̸ç C´Â ÇöÀç½ÃÁ¡¿¡¼ÀÇ
Çö±ÝÀ¯ÃâÀÔ´Ï´Ù. À̶§ ¿ì¸®°¡ ±¸ÇϰíÀÚ ÇÏ´Â °ÍÀº rÀÔ´Ï´Ù.
ÀÌ·± °íÂ÷¿ø ¹æÁ¤½ÄÀ» r¿¡ ´ëÇØ Á¤¸®ÇÒ ¼ö´Â ¾øÀ¸¹Ç·Î
Åë»óÀûÀ¸·Î´Â ¼öÄ¡ÇØ¼®ÀûÀÎ ¹æ¹ýÀ¸·Î ±¸ÇÕ´Ï´Ù. ¾Æ¸¶
¿¢¼¿µµ ±×·± ¹æ½ÄÀ¸·Î ÇØ¸¦ ±¸ÇÒ °ÍÀ¸·Î »ý°¢µË´Ï´Ù.
2.¸Å°³º¯¼ö
- values
³»ºÎ¼öÀÍ·üÀ» ±¸Çϱâ À§ÇÑ
¼öÄ¡µ¥ÀÌŸ°¡ ÀÔ·ÂµÈ ¹è¿ ¶Ç´Â ¼¿ÀÇ ÁÖ¼ÒÀÔ´Ï´Ù. NPV¿Í´Â
´Þ¸® Á÷Á¢ ¼öÄ¡¸¦ Äĸ¶·Î ±¸ºÐÇÏ¿© ³ÖÁö ¾Ê½À´Ï´Ù.
-
guess
¿É¼ÇÀ¸·Î¼ IRR°è»ê½Ã¿¡´Â ¹Ýº¹ÇÏ¿© °ªÀ» ³Ö¾îº¸°í
Ʋ¸®¸é ´Ù½Ã ³Ö´Â ¹æ½ÄÀε¥ À̸¦ ÁöÁ¤Çϸé guess¿¡¼
½ÃÀÛÇÏ¿© °á°ú°¡ 0.00001% À̳»ÀÇ ¿ÀÂ÷ ¹üÀ§¿¡ µé¾î¿Ã
¶§±îÁö ¹Ýº¹ÇÕ´Ï´Ù. 20¹ø ÀÌ»ó ¹Ýº¹ ÈÄ¿¡µµ °á°ú°ªÀ»
ãÁö ¸øÇÏ´Â °æ¿ì #NUM! ¿À·ù°ªÀ» Ç¥½ÃÇÕ´Ï´Ù. Åë»ó
»ç¿ëÇÏÁö ¾Ê½À´Ï´Ù.
3.¿¹
¿¢¼¿µµ¿ò¸»ÀÇ
¿¹¸¦ º¸½ÃÁÒ. ½Ä´çÀ» °³¾÷ÇÑ´Ù°í °¡Á¤ÇÒ
¶§, »ç¾÷À» ½ÃÀÛÇϴµ¥
£Ü7,000,000°¡
¼Ò¿äµÇ¸ç 5³â »çÀÌ¿¡ £Ü1,200,000,
£Ü1,500,000,£Ü1,800,000,
£Ü2,100,000,
£Ü2,600,000ÀÇ
¼øÀÌÀÍÀ» ±â´ëÇÕ´Ï´Ù. B1:B6¿¡´Â °¢°¢ £Ü-7,000,000,
£Ü1,200,000,
£Ü1,500,000,
£Ü1,800,000,
£Ü2,100,000,
£Ü2,600,000ÀÌ
ÀúÀåµË´Ï´Ù.
4³â ÈÄÀÇ ÅõÀÚ ³»ºÎ ¼öÀÍÀ²À» ±¸Çϸé
´ÙÀ½°ú °°½À´Ï´Ù.
IRR(B1:B5) = -2.12 %
5³â ÈÄÀÇ ³»ºÎ ¼öÀÍÀ²À» ±¸ÇÏ¸é ´ÙÀ½°ú
°°½À´Ï´Ù.
IRR(B1:B6) = 8.66 %
2³â ÈÄÀÇ ³»ºÎ ¼öÀÍÀ²À» ±¸ÇÏ·Á¸é guess¸¦
ÁöÁ¤ÇÕ´Ï´Ù.
IRR(B1:B3,-10%) = -44.35 %
4. NPV¿ÍÀÇ °ü°è
°¡Àå Èï¹Ì·Î¿î ´ë¸ñÀÔ´Ï´Ù. IRR ÇÔ¼ö´Â
¼ø ÇöÀç °¡Ä¡ ÇÔ¼ö NPV¿Í ¹ÐÁ¢ÇÑ °ü°è°¡ ÀÖ½À´Ï´Ù. IRR¿¡
ÀÇÇØ °è»êµÇ´Â ³»ºÎ ¼öÀÍ·üÀº ¼ø ÇöÀç °¡Ä¡ 0¿¡
ÇØ´çÇÏ´Â ÀÌÀ²ÀÔ´Ï´Ù. Áö³ ½Ã°£ÀÇ µÎ ¹øÂ° ¿¹¸¦ ÇÑ ¹ø
º¸ÁÒ. °Å±â¿¡¼ Çö±ÝÈ帧Àº -1000000, 300000,420000,680000À̾ú½À´Ï´Ù.
ÀÌ´Â R1,R2µîÀÇ Çö±ÝÈ帧ÀÌÁÒ. ±×¸®°í ±×¶§ÀÇ Çö°¡´Â
118844À̾ú½À´Ï´Ù. ÀÌ´Â irr¿¡¼´Â C¿¡ ÇØ´çÇÏÁÒ. ¾Æ·¡ÀÇ
¼ö½ÄÀ» Çѹø º¸½ÃÁÒ

óÀ½ ¼Ò°³ÇÑ IRR½Ä°ú ºñ±³Çϸé Â÷À̰¡
¾ø½À´Ï´Ù. Áï

ÀÔ´Ï´Ù.
À̸¦ IRRÇÔ¼ö·Î Ç¥ÇöÇÏ¸é ´ÙÀ½°ú °°½À´Ï´Ù.
B3:B7¿¡ -118844,-1000000,300000,420000,680000ÀÌ ÀԷµǾî ÀÖ´Ù¸é
=IRR(B3:B7)=10.00%
NPV¿Í IRRÀÇ °ü°è¸¦ ¾Ë·ÁÁÖ´Â ¶ÇÇϳªÀÇ ¿¹´Â µµ¿ò¸»¿¡
ÀÖ½À´Ï´Ù.
NPV(IRR(B1:B6),B1:B6) = 3.60E-08
(IRRÀÇ Çã¿ë ¿ÀÂ÷ ¹üÀ§¸¦ °í·ÁÇϸé 3.60E-08 °ªÀº ½ÇÁ¦·Î 0ÀÔ´Ï´Ù.)
°°Àº Çö±ÝÈ帧À» °¡Áö°í ±¸ÇÑ ÇÒÀÎÀ² ÁïIRR(B1:B6)À¸·Î NPV¸¦
ÇÒÀÎÇÏ¿© °è»êÇÑ´Ù¸é 0ÀÌ ³ª¿É´Ï´Ù.
Áö³ ½Ã°£±îÁö´Â ¼öÀÛ¾÷°ú ¿¢¼¿Æã¼Ç°úÀÇ ºñ±³¸¦ À§ÇØ
ºÎ·ÏÀ¸·Î ¿¢¼¿ÆÄÀÏÀ» µÎ¾ú´Âµ¥ ¿À´ÃÀº ÇÔ¼öƯ¼º»ó
¾öµÎ°¡ ³ªÁú ¾Ê´Â±º¿ä. ÇÔ¼ö¸¦ »ç¿ë¾Ê´Â´Ù¸é ¹Ýº¹ÀûÀÎ
¼öÄ¡ÇØ¼®ÀýÂ÷°¡ ÇÊ¿äÇѵ¥, ÀÌ´Â À繫ÇÔ¼öÀÇ ¹üÀ§´Â
¹þ¾î³ª±â ¶§¹®ÀÌÁÒ.
¿À´ÃÀº ¿©±â±îÁöÀÔ´Ï´Ù.
ÀÌÀü | ¸ñÂ÷ |
´ÙÀ½
|